https://leetcode.cn/problems/remove-nth-node-from-end-of-list/description/
给你一个链表,删除链表的倒数第n个结点,并且返回链表的头结点。
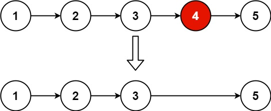
示例1

输入:head = [1,2,3,4,5], n = 2
输出:[1,2,3,5]
示例2
输入:head = [1], n = 1
输出:[]
示例3
输入:head = [1,2], n = 1
输出:[1]
提示
sz1 <= sz <= 300 <= Node.val <= 1001 <= n <= sz# Definition for singly-linked list.
# class ListNode:
# def __init__(self, val=0, next=None):
# self.val = val
# self.next = next
class Solution:
def removeNthFromEnd(self, head: Optional[ListNode], n: int) -> Optional[ListNode]:
dummp_head = head
cur = head
while n and cur:
n -= 1
cur = cur.next
# n等于链表长度
if not cur:
return dummp_head.next
while cur.next:
cur = cur.next
head = head.next
head.next = head.next.next
return dummp_head