k个一组翻转链表
https://leetcode.cn/problems/reverse-nodes-in-k-group/description/
给你链表的头节点head,每k个节点一组进行翻转,请你返回修改后的链表。
k是一个正整数,它的值小于或等于链表的长度。如果节点总数不是k的整数倍,那么请将最后剩余的节点保持原有顺序。
你不能只是单纯的改变节点内部的值,而是需要实际进行节点交换。
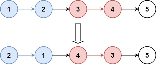
示例1

输入:head = [1,2,3,4,5], k = 2
输出:[2,1,4,3,5]
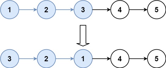
示例2

输入:head = [1,2,3,4,5], k = 3
输出:[3,2,1,4,5]
提示
- 链表中的节点数目为n
- 1 <= k <= n <= 5000
- 0 <= Node.val <= 1000

# Definition for singly-linked list.
# class ListNode:
# def __init__(self, val=0, next=None):
# self.val = val
# self.next = next
class Solution:
def reverseKGroup(self, head: ListNode, k: int) -> ListNode:
dump = ListNode(next=head)
p0 = dump
n = 0
cur = head
while cur:
n += 1
cur = cur.next
cur = head
pre = None
while n >= k:
n -= k
for _ in range(k):
nxt = cur.next
cur.next = pre
pre = cur
cur = nxt
nxt = p0.next
nxt.next = cur
p0.next = pre
p0 = nxt
return dump.next