两两交换链表中的节点
https://leetcode.cn/problems/swap-nodes-in-pairs/description/
给你一个链表,两两交换其中相邻的节点,并返回交换后链表的头节点。你必须在不修改节点内部的值的情况下完成本题(即,只能进行节点交换)。
示例1

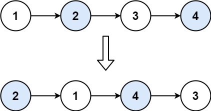
输入:head = [1,2,3,4]
输出:[2,1,4,3]
示例2
输入:head = []
输出:[]
示例3
输入:head = [1]
输出:[1]
提示
- 链表中节点的数目在范围[0, 100]内
- 0 <= Node.val <= 100
题解
创建哨兵节点dummp_head,用node0表示dummp_head, node1表示第一个节点,以此类推
- node0指向node2
- node2指向node1
- node1指向node3
- 更新node0为node1, node1为node3
- 如果node1和node1.next都不为空,则回到第一步再次交换节点
- 最后返回dummp_head.next作为头节点
# Definition for singly-linked list.
# class ListNode:
# def __init__(self, val=0, next=None):
# self.val = val
# self.next = next
class Solution:
def swapPairs(self, head: Optional[ListNode]) -> Optional[ListNode]:
dummp_head = ListNode(next=head)
node1 = head
node0 = dummp_head
while node1 and node1.next:
node2 = node1.next
node3 = node2.next
node0.next = node2
node2.next = node1
node1.next = node3
node0 = node1
node1 = node3
return dummp_head.next